
第一作者:Tianju Fan
通訊作者:魯宇浩博士,Netanel Shpigel
通訊單位:寧德新能源(ATL)、以色列巴伊蘭大學
【工作簡介】
為了實現4.6V鈷酸鋰正極的穩定循環,以色列巴伊蘭大學Netanel Shpigel聯合中國寧德新能源(ATL)魯宇浩博士等人提出了一個復合策略,即對鈷酸鋰正極進行Li3AlF6包覆,并采用高度適配的電解液(1MLiPF6 DFEC/FEC/DMC1/1/8),成功提升了該材料的高壓穩定性,循環500周后容量保持率高達78%。相關文章以“Operating Highly Stable LiCoO2 Cathodes up to 4.6V by Using an Effective Integration of Surface Engineering and Electrolyte Solutions Selection”為題發表在國際知名期刊“Advanced Functional Materials”上。
【研究背景】
鈷酸鋰LiCoO2(LCO)仍然是商業化鋰離子電池的主要正極材料,該材料的工作電壓已經成功的提升至了4.45V,放電比容量為170mAh/g,目前大量的工作都集中于如何將其上限電壓提升至4.6V,實現220mAh/g的高放電比容量。研究表明,在4.6V下,LCO正極容量衰減非常迅速,這主要是因為:1)結構相變;2)與電解液反應引起的表面退化。兩種退化路徑相互依存、相互影響,因此單一改性方法,如表面工程或電解液匹配等都無法實現理想的循環性能,相反,需要一個整體的方法,將表面改性、電解液開發,以及粘結劑優化等都結合起來去改善LCO正極材料的高壓穩定性。
【內容詳情】
1.結構與形貌分析
Li3AlF6包覆LCO顆粒(Li-Al-F@LCO)的合成步驟如圖1a所示,其與初始LCO(Bare-LCO)的SEM圖像如圖1b-d所示,由于包覆層的存在,Li-Al-F@LCO的表面更為粗糙。TEM圖像證實了包覆層的存在(圖2),同時Li-Al-F@LCO材料中觀察到單斜Li3AlF6(LAF)相,說明包覆層是由LAF構成,且EDS圖像表明包覆層分布十分均勻。
圖3a展示了兩種材料的XRD圖譜,兩者幾乎一致,說明本體顆粒在高溫處理后沒有發生變化,相反,從XPS結果可以看到(圖3b),Li-Al-F@LCO表面出現了Al及F元素的信號,再次證明了包覆層的存在。

圖1.a)Li-Al-F@LCO的制備示意圖;b,c)Bare-LCO和d,e)Li-Al-F@LCO的SEM圖像

圖2.Li-Al-F@LCO顆粒的高分辨率TEM圖像:a)包覆層由薄膜(白虛線)和納米顆粒(藍虛線)組成;b)相應的Li-Al-F包覆層的FFT圖和c)Li-Al-F@LCO顆粒的HAADF圖像;d)選定的顆粒的圖像及e)Li-Al-F涂層的FFT圖和f)單個LCO顆粒的EDS譜圖

圖3.Bare-LCO和Li-Al-F@LCO顆粒的a)XRD和XPSb)Al2p,c)O1s,d)F1s光譜
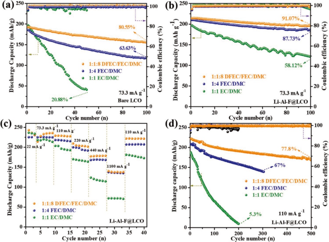
2.Bare-LCO及Li-Al-F@LCO在常規及氟化電解液中的電化學性能
氟化電解液,憑借本身的電化學穩定性及形成鈍化界面的能力,能夠很好的穩定高壓正極,因此,作者研究了配方為1MLiPF6FEC/DMC1/4及1MLiPF6inDFEC/FEC/DMC1/1/8兩種氟化電解液與常規電解液(1MLiPF6EC/DMC1/1)的性能差異。對比圖4a,b可知:1)Li-AL-F包覆層有效地提升了LCO正極材料的高壓循環穩定性;2)使用氟化電解液,尤其是DFEC/FEC復合氟化體系,能夠進一步提升LCO的循環穩定性。具體地:DFEC/FEC氟化電解液在0.3C循環100圈后容量保持率為91%,高于FEC體系的88%及EC體系的42%。DFEC/FEC氟化電解液同時具有更好的倍率性能,對于0.5C下的長循環性能,DFEC/FEC氟化電解液也有更優異的表現,初始容量達到220mAh/g,循環500周后容量保持率為78%,EC體系則在循環200周后衰減到5%。

圖4.a)Bare-LCO和b)Li-Al-F@LCO在不同電解液中的循環性能(30°C下,4.6V,電流密度約為73mAg-1);c)Li-Al-F@LCO的倍率性能;d)Li-Al-F@LCO在電流密度為110mAg-1的長期循環性能
3.Bare-LCO及Li-Al-F@LCO循環后分析
圖5展示了兩種材料在循環前、循環100及500圈后的SEM圖像,未包覆材料在循環100周后出現了明顯的破裂,而包覆材料同樣也出現了裂痕,但這些裂痕都被致密的鈍化膜覆蓋住了,這說明該體系中產生的裂紋能夠被迅速生成的鈍化膜修復完好,是一種自愈的過程。
圖6展示了兩種材料循環后的XPS圖譜,兩者的F1s譜差異較大,在包覆材料中觀察到了較多的LiF,相當大一部分是源于包覆層,另外,該材料的PVDF信號更弱,說明表面生成了一定的鈍化層,覆蓋了PVDF。另外,在Li-Al-F@LCO中檢查到更多的LixFyPOx,這一組分被認為具有較好的界面穩定能力。

圖5.a,b)循環前和c,d)循環100次和e,f)循環500次后Bare-LCO和b)Li-Al-F@LCO電極的SEM圖像

圖6.Bare-LCO和b)Li-Al-F@LCO循環3次和100次后的XPS光譜:a,d)C1s,b,e)F1s和c,f)O1s
圖7展示了兩種材料循環后的XRD圖譜,Bare-LCO材料的(003)峰及(104)峰表現出更大程度的偏移,說明該材料中發生了O3到H1-H3相的不可逆相變,是該材料容量迅速衰減的原因。
圖8是兩種材料循環200周前后的7Li固體核磁圖譜,所有材料的主要的信號峰位于0ppm初,是LCO材料的特征表現。循環200周后,位于0ppm的峰的寬度都增大了,且Bare-LCO材料在66ppm出現了一個新的信號峰,其積分面積約為主峰的65%,這與部分鋰化的O3-II相有關,大約對應著約為20%的Li損失。
利用DSC測試了兩種材料在常規EC體系及氟化DFEC體系的熱穩定性,如圖9所示,兩個材料中都出現了兩個放熱峰,第一個是源于晶格氧與電解液之間的熱-化學作用,第二個則是源于溶劑分子與活性材料之間的燃燒反應。Li-Al-F@LCO材料的峰向更高溫度發生偏移,且其強度也降低了,說明包覆層有效增強了LCO材料的熱穩定性。另外,在氟化電解液中也觀察到了峰位置向高溫度偏移,證實了氟化溶劑的熱穩定能力。

圖7.循環100次前后的a,b)Li-Al-F@LCO和c,d)Bare-LCO電極的(003)和(015)衍射

圖8.LCO樣品的7LiNMR譜圖:a,b)循環前Bare-LCO和Li-Al-F@LCO,c,d)循環200次后Bare-LCO和Li-Al-F@LCO

圖9.Bare-LCO和Li-Al-F@LCO在不同電解液中的熱行為
4.鋰負極對高壓LCO循環穩定性的影響
考慮到不同電解液中LCO正極電化學性能的巨大差異,作者認為鋰金屬負極可能起著重要作用,因此對鋰金屬進行了SEM觀察,如圖10所示,EC體系中,Li金屬表面的鈍化層是厚且多孔的,而在氟化電解液中則更薄且均一,但考慮到氟化電解液中Li-Al-F@LCO正極在循環后仍保留了完整的結構,作者認為Li-Al-F@LCO/Li半電池的衰減是由于鋰負極中界面膜形成消耗了活性鋰導致的。

圖10.Li負極的SEM圖像:a,b)循環前和c,d)在FEC/DFEC以及e,f)常規EC基電解質溶液中循環100圈后
【結論】
該工作結合Li-Al-F包覆及氟化電解液兩種改性方法,極大地改善了LCO正極的循環性能,其初始容量為223mAh/g和85.5%,循環200周、500周后的容量保持率分別為85.5和78%。兩種改性方法都發揮了重要作用,缺一不可。另外,氟化電解液雖然能夠同時增強正負極的電化學穩定性,但其在負極持續形成表面膜會導致電池容量的降低。綜上所述,作者認為高壓LCO正極的高能量密度電池的進一步改性,需要結合表面修飾和新電解質配方的開發,以實現有效和穩定的雙電極鈍化,且這種方法同樣適用于其他高壓正極材料。
注:圖片非商業用途,存在侵權告知刪除!
本文地址:http://www.scmrzs.com/news/details86.html
好文章,需要你的鼓勵
郵箱:libatterychina@163.com
北京:北京市海淀區上地三街9號金隅嘉華大廈C座904
010-62980511 13661293507
山東:山東省臨沂市魯商中心A12-1503-1
0539-8601323
鋰電中國(libattery.net)版權所有
Copyright By 北京貝特互創科技有限公司
京ICP備11002324號-1
京公安網備11010802035676號
我有話說: